日本最低時薪:日本最低小時工資2025最新標準
如果您有計劃去日本工作或勞務,一定很想知道日本的小時工資最低是多少,折合成人民幣又是多少。(以下稱“日本最低小時工資”)。本文就帶您一起了解目前日本全國各都道府縣的最新最低時薪標準!
1、日本2025年最低小時工資最新標準
從 2025年10月起,日本各地最低工資再次進行了調整。
全國平均最低小時工資已達到 1,121日元,比去年的 1,055日元 上漲了 66日元,創下歷史新高。
東京的最低時薪也從去年的 1,163日元 上調至 1,226日元,其他地區也都出現了明顯增長。
日本的最低工資通常每年 10月前后 調整一次,平均漲幅在 3%~6% 左右。
2、日本各都道府縣的最低時薪漲幅是多少?
日本厚生勞動省的中央最低賃金審議會建議的最低時薪漲幅是3%,每年平均調高50日元。
按照最新標準,日本各都道府縣的最低時薪全都超過了1000日元。
對于已經在日本工作的朋友來說,本次最低工資上調后,每月的工資收入預計將增加約11600日元以上(合人民幣 550元起),這對長期居住和打工的外國人來說是一個不小的利好。
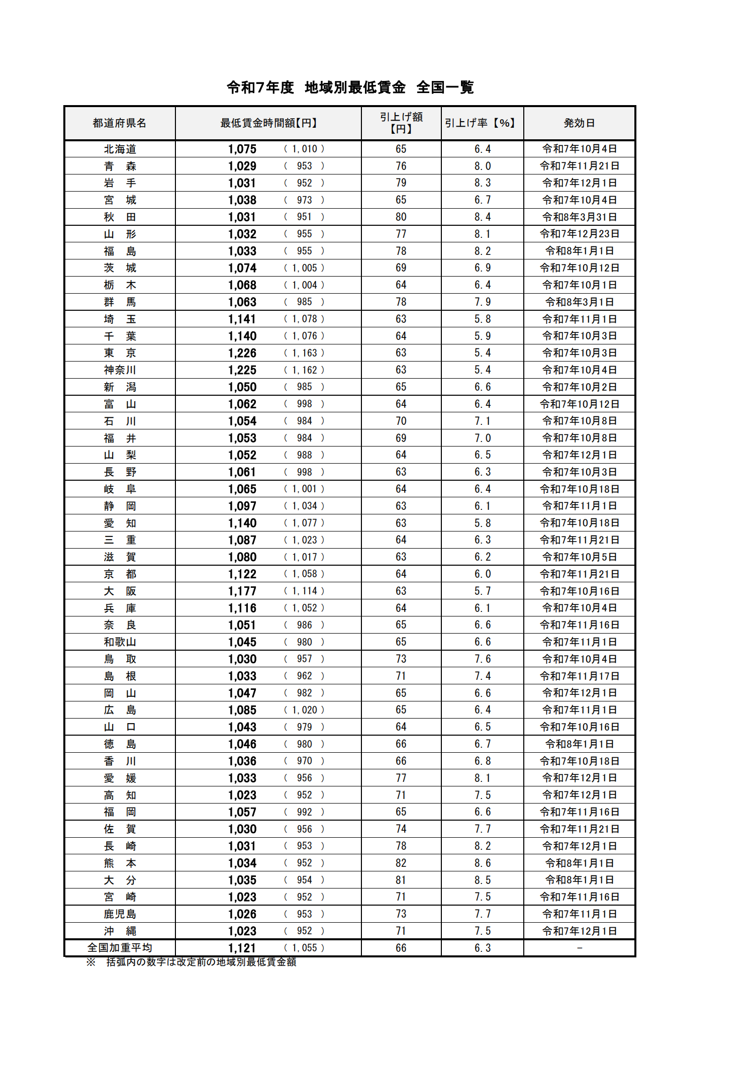
3、2025年10月起,日本最新小時工資標準如下:



4、日本各地區區別:
【北海道?東北地區】
北海道(北海道)最低小時工資是1,075日元/小時,從2025年10月4日開始。
青森縣(青森)最低小時工資是1,029日元/小時,從2025年11月21日開始。
巖手縣(巖手)最低小時工資是1,031日元/小時,從2025年12月1日開始。
宮城縣(宮城)最低小時工資是1,038日元/小時,從2025年10月4日開始。
秋田縣(秋田)最低小時工資是1,031日元/小時,從2026年3月31日開始。
山形縣(山形)最低小時工資是1,032日元/小時,從2025年12月23日開始。
福島縣(福島)最低小時工資是1,033日元/小時,從2026年1月1日開始。
【關東地區】
茨城縣(茨城)最低小時工資是1,074日元/小時,從2025年10月12日開始。
栃木縣(栃木)最低小時工資是1,068日元/小時,從2025年10月1日開始。
群馬縣(群馬)最低小時工資是1,063日元/小時,從2026年3月1日開始。
埼玉縣(埼玉)最低小時工資是1,141日元/小時,從2025年11月1日開始。
千葉縣(千葉)最低小時工資是1,140日元/小時,從2025年10月3日開始。
東京都(東京)最低小時工資是1,226日元/小時,從2025年10月3日開始。
神奈川縣(神奈川)最低小時工資是1,225日元/小時,從2025年10月4日開始。
【中部地區】
新潟縣(新潟)最低小時工資是1,050日元/小時,從2025年10月2日開始。
富山縣(富山)最低小時工資是1,062日元/小時,從2025年10月12日開始。
石川縣(石川)最低小時工資是1,054日元/小時,從2025年10月8日開始。
福井縣(福井)最低小時工資是1,053日元/小時,從2025年10月8日開始。
山梨縣(山梨)最低小時工資是1,052日元/小時,從2025年12月1日開始。
長野縣(長野)最低小時工資是1,061日元/小時,從2025年10月3日開始。
岐阜縣(岐阜)最低小時工資是1,065日元/小時,從2025年10月18日開始。
靜岡縣(靜岡)最低小時工資是1,097日元/小時,從2025年11月1日開始。
愛知縣(愛知)最低小時工資是1,140日元/小時,從2025年10月18日開始。
三重縣(三重)最低小時工資是1,087日元/小時,從2025年11月21日開始。
【近畿地區】
滋賀縣(滋賀)最低小時工資是1,080日元/小時,從2025年10月5日開始。
京都府(京都)最低小時工資是1,122日元/小時,從2025年11月21日開始。
大阪府(大阪)最低小時工資是1,177日元/小時,從2025年10月16日開始。
兵庫縣(兵庫)最低小時工資是1,116日元/小時,從2025年10月4日開始。
奈良縣(奈良)最低小時工資是1,051日元/小時,從2025年11月16日開始。
和歌山縣(和歌山)最低小時工資是1,045日元/小時,從2025年11月1日開始。
【中國地區】
鳥取縣(鳥取)最低小時工資是1,030日元/小時,從2025年10月4日開始。
島根縣(島根)最低小時工資是1,033日元/小時,從2025年11月17日開始。
岡山縣(岡山)最低小時工資是1,047日元/小時,從2025年12月1日開始。
廣島縣(広島)最低小時工資是1,085日元/小時,從2025年11月1日開始。
山口縣(山口)最低小時工資是1,043日元/小時,從2025年10月16日開始。
【四國地區】
德島縣(徳島)最低小時工資是1,046日元/小時,從2026年1月1日開始。
香川縣(香川)最低小時工資是1,036日元/小時,從2025年10月18日開始。
愛媛縣(愛媛)最低小時工資是1,033日元/小時,從2025年12月1日開始。
高知縣(高知)最低小時工資是1,023日元/小時,從2025年12月1日開始。
【九州?沖繩地區】
福岡縣(福岡)最低小時工資是1,057日元/小時,從2025年11月16日開始。
佐賀縣(佐賀)最低小時工資是1,030日元/小時,從2025年11月21日開始。
長崎縣(長崎)最低小時工資是1,031日元/小時,從2025年12月1日開始。
熊本縣(熊本)最低小時工資是1,034日元/小時,從2026年1月1日開始。
大分縣(大分)最低小時工資是1,035日元/小時,從2026年1月1日開始。
宮崎縣(宮崎)最低小時工資是1,023日元/小時,從2025年11月16日開始。
鹿兒島縣(鹿児島)最低小時工資是1,026日元/小時,從2025年11月1日開始。
沖繩縣(沖縄)最低小時工資是1,023日元/小時,從2025年12月1日開始。
| 嚴海赴日 加微信,查看最新赴日工作信息 客服微信:18841170818(陳老師) 客服微信:13940863979(張老師) |
